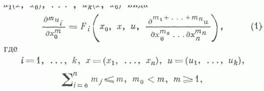
Коши ковалевской