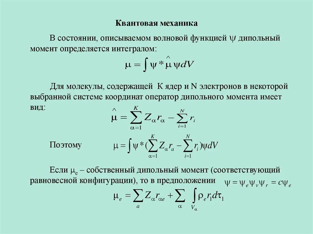
Квантовый математик