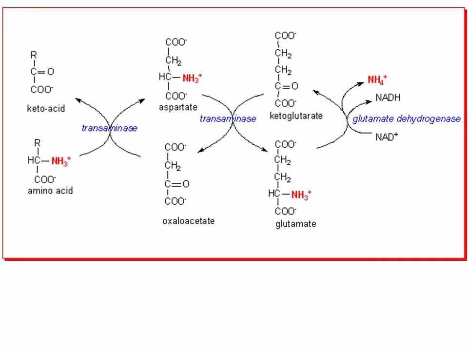
L amino acid