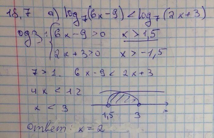
L o g 7 x 0