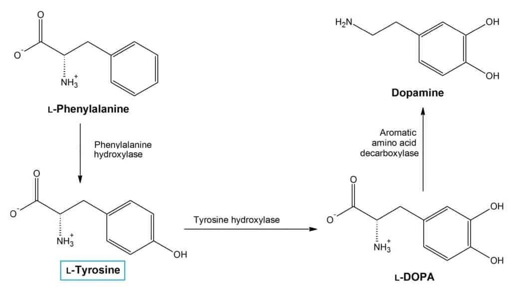
Л тирозин