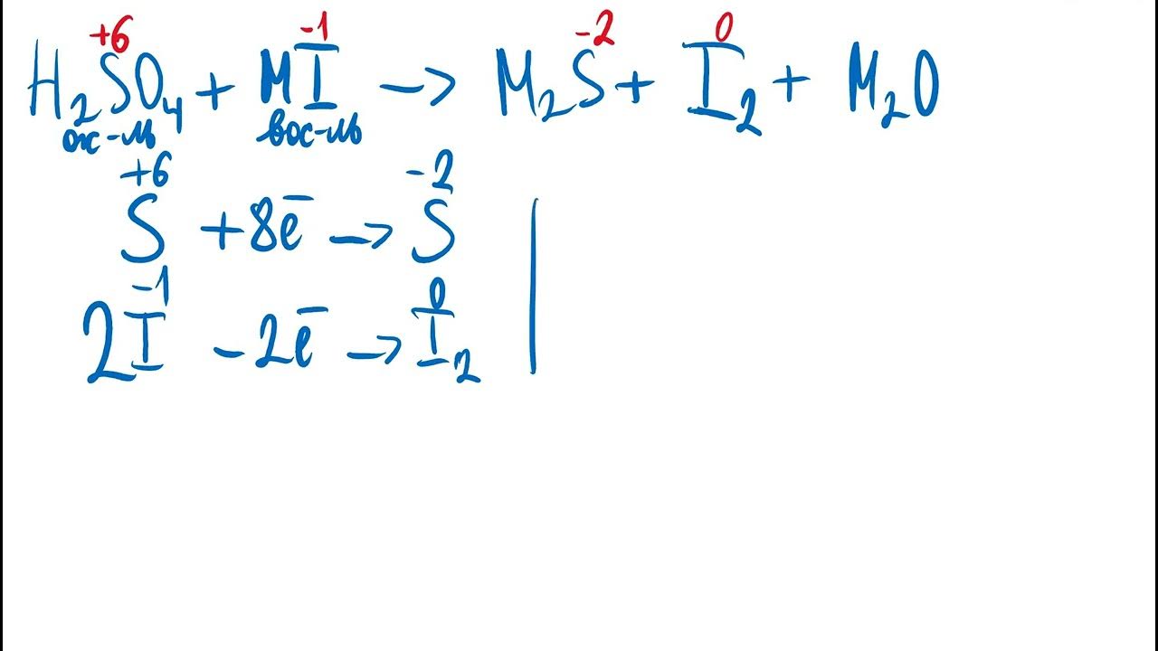
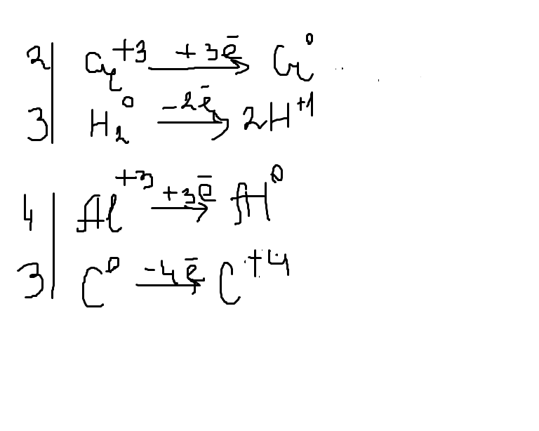
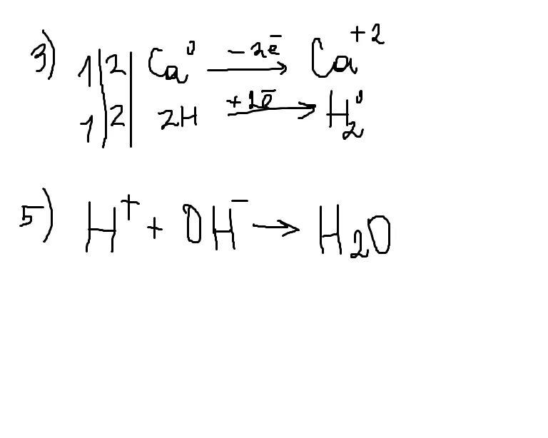
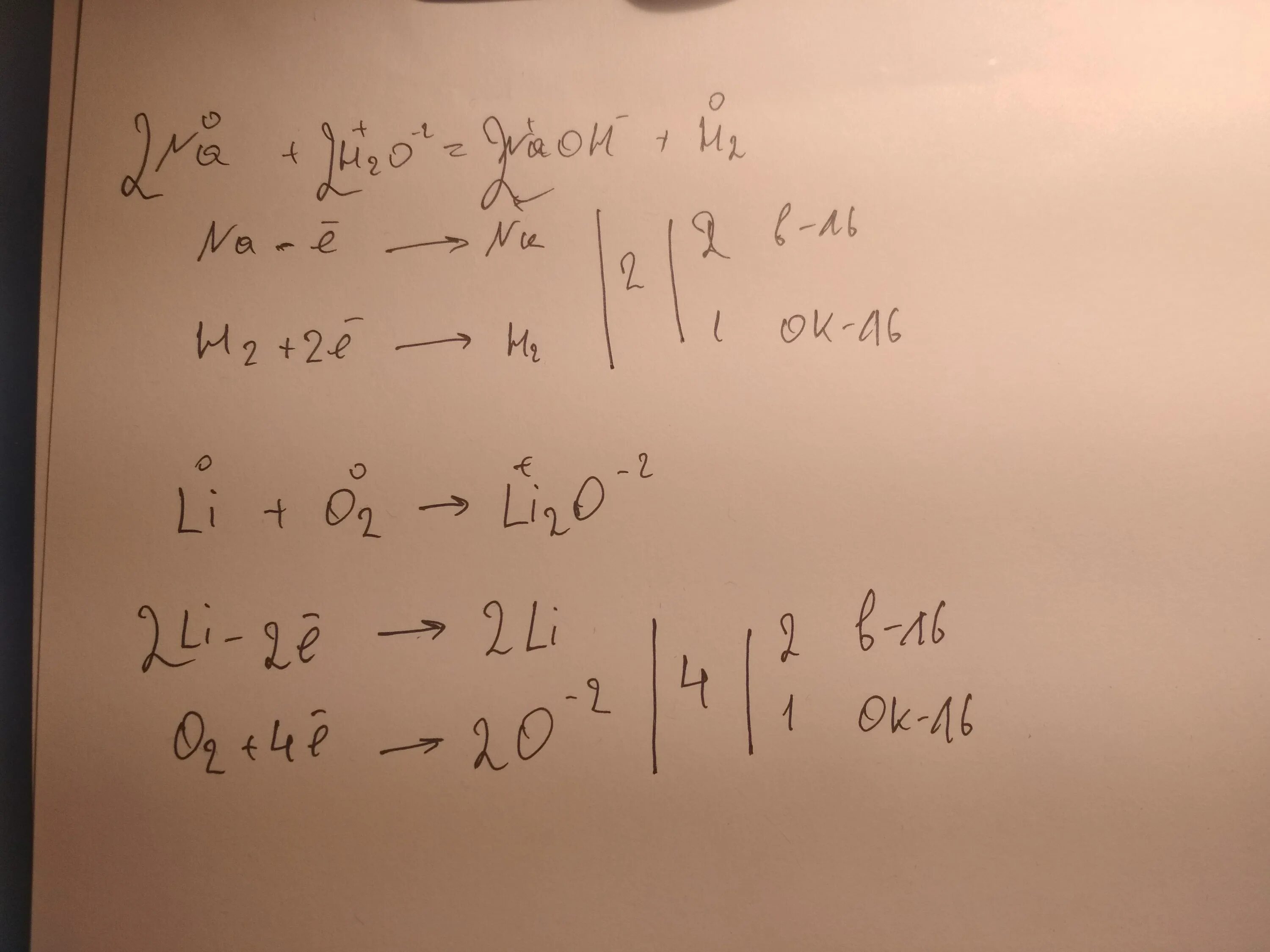
Li h2o электронный баланс