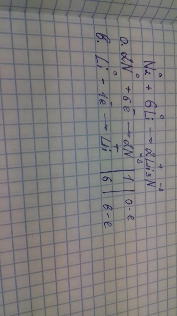
Li n2