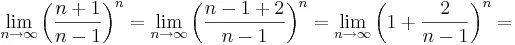
Lim e x x 2