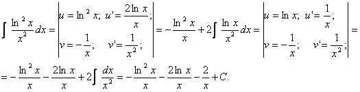
Ln 2 8