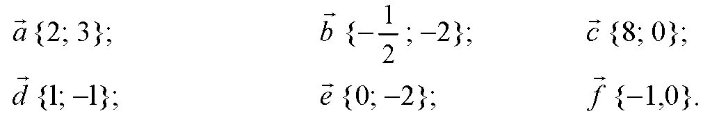
M 3a найти координаты вектора