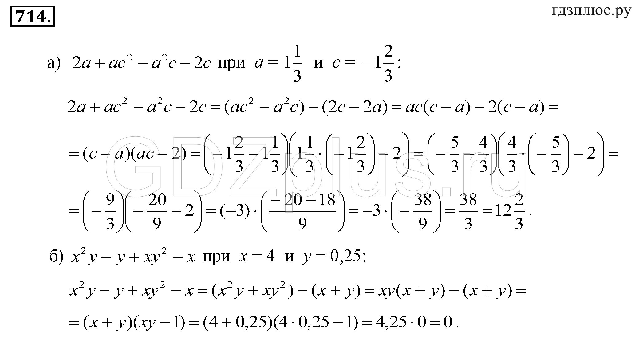
Макарычев 7 класс 4