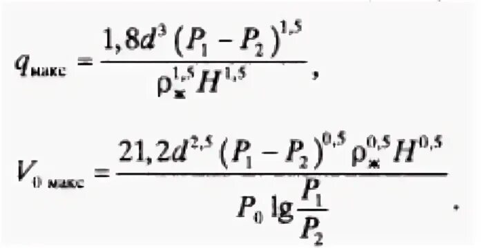
Макс режим работы