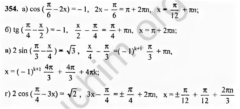
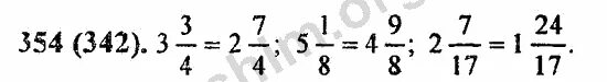
Математика 4 номер 354