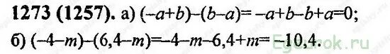
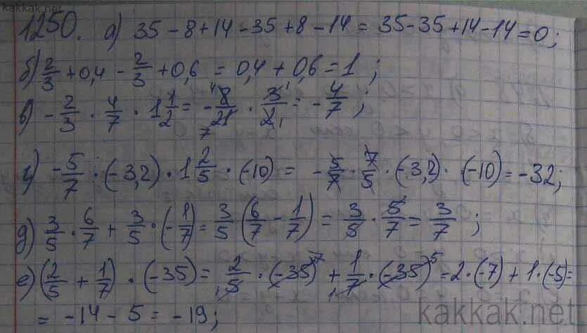
Математика 6 класс номер 1275 жохов