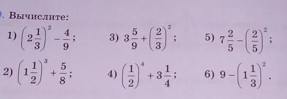
Математика 6 класс стр 145