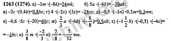
Математика 6 класс виленкин 235