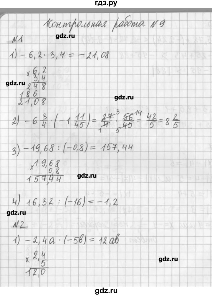
Математика дидактические материалы 6 класс мерзляк ответы