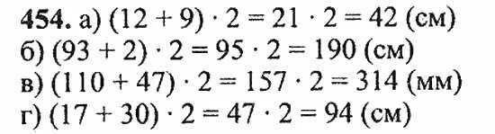
Математика пятый класс номер 98