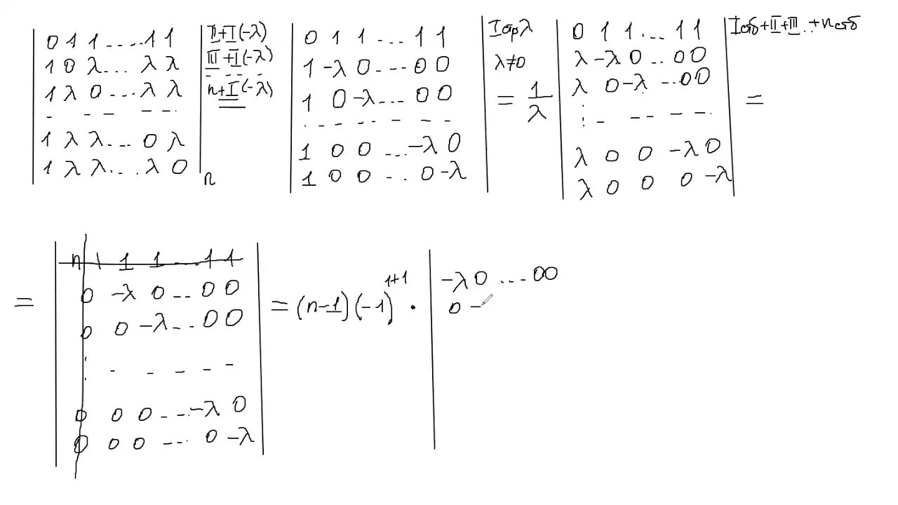
Матрица 5х5 3