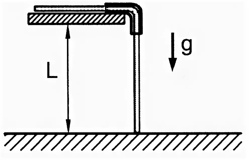
На горизонтальном столе закреплена половина цилиндра