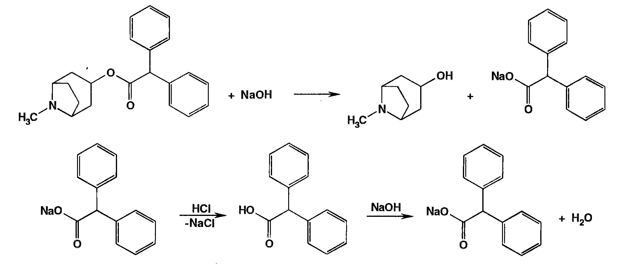
Naoh p 0