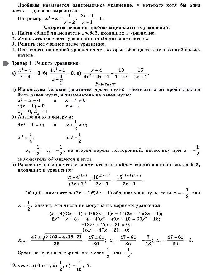
Найдите корень уравнения огэ