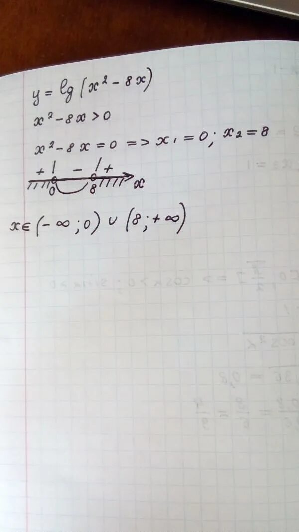
Найдите область определения y 12 x