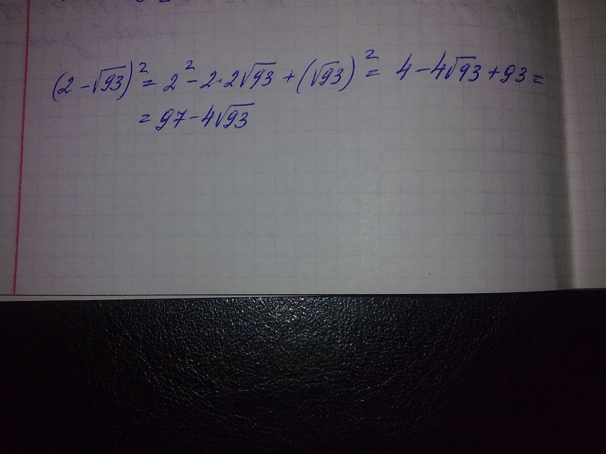
Найдите значение выражения 2 корень 6 36