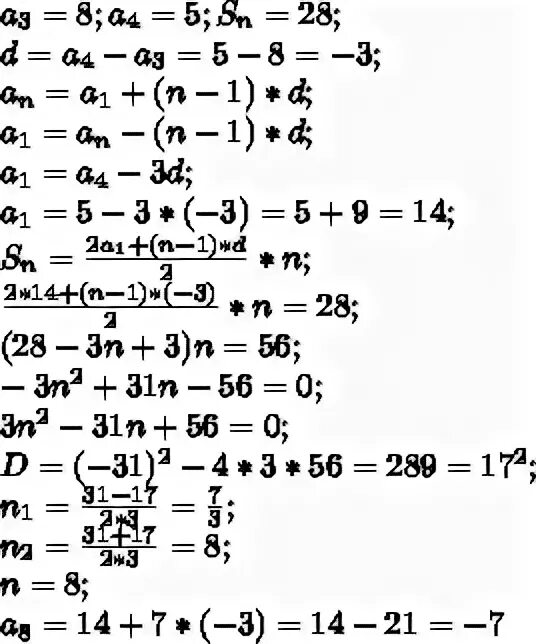
Найти 3 28 от 14