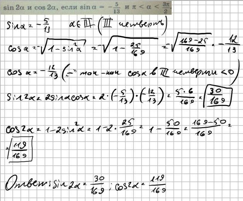
Найти альфа 18