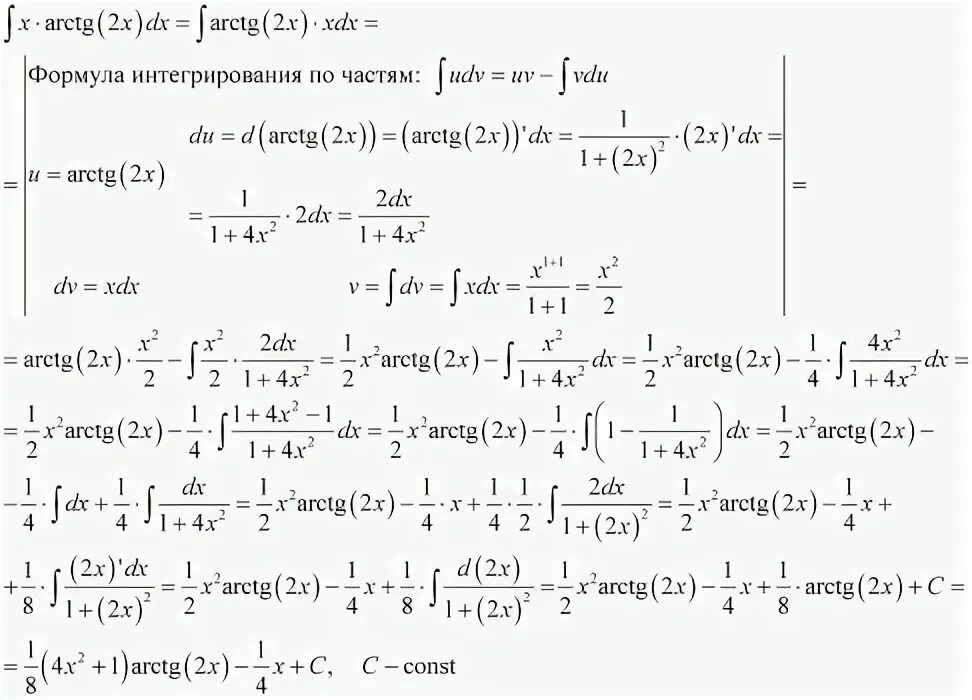
Неопределенный интеграл 1 x dx 2