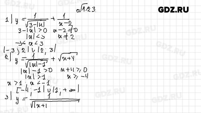
Номер 819 по алгебре 7