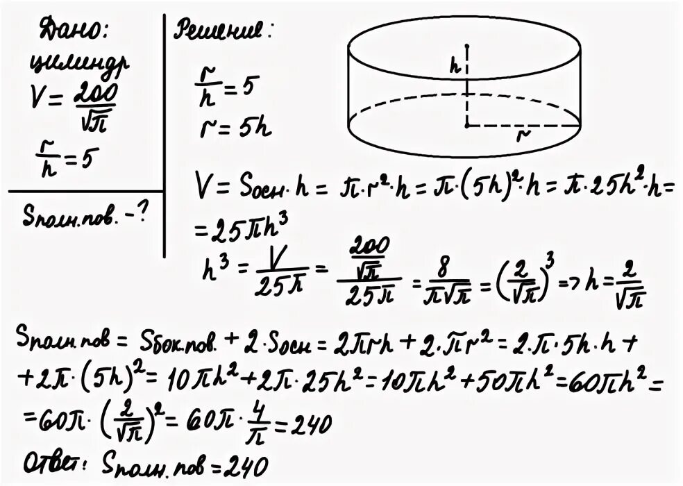
Объем цилиндра равен п