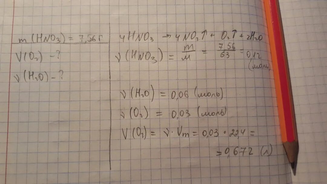
Объем водорода образующегося при разложении