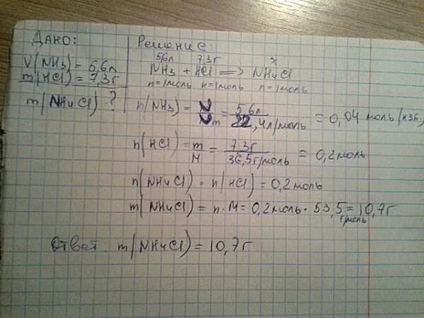
Определить массу соли образовавшийся