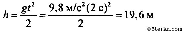
Определите глубину колодца если камень упавший