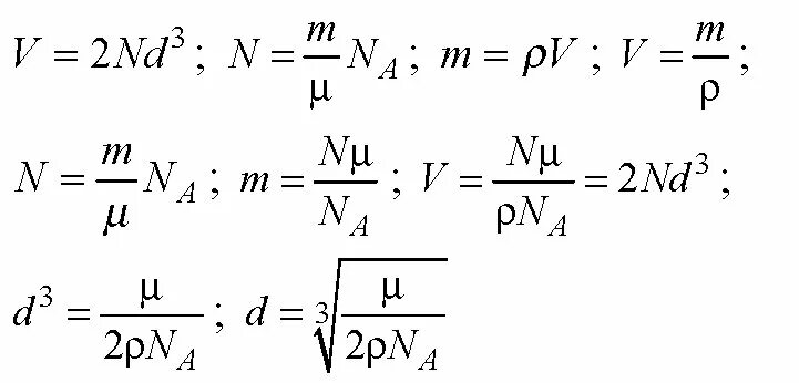
Определите массу молекулы поваренной соли