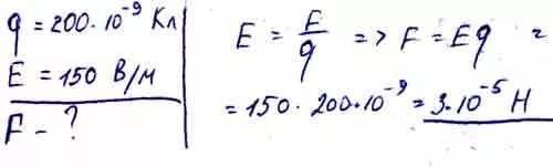
Определите силу действующую на точечный заряд