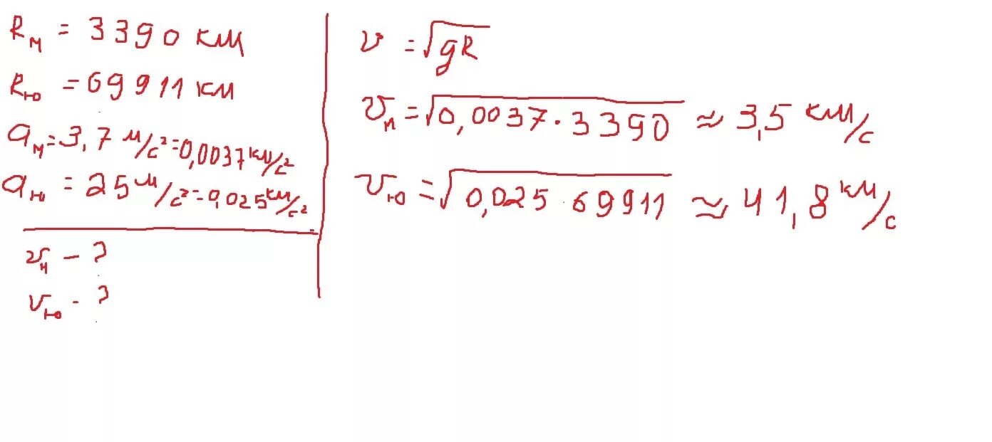
Определите ускорение марса