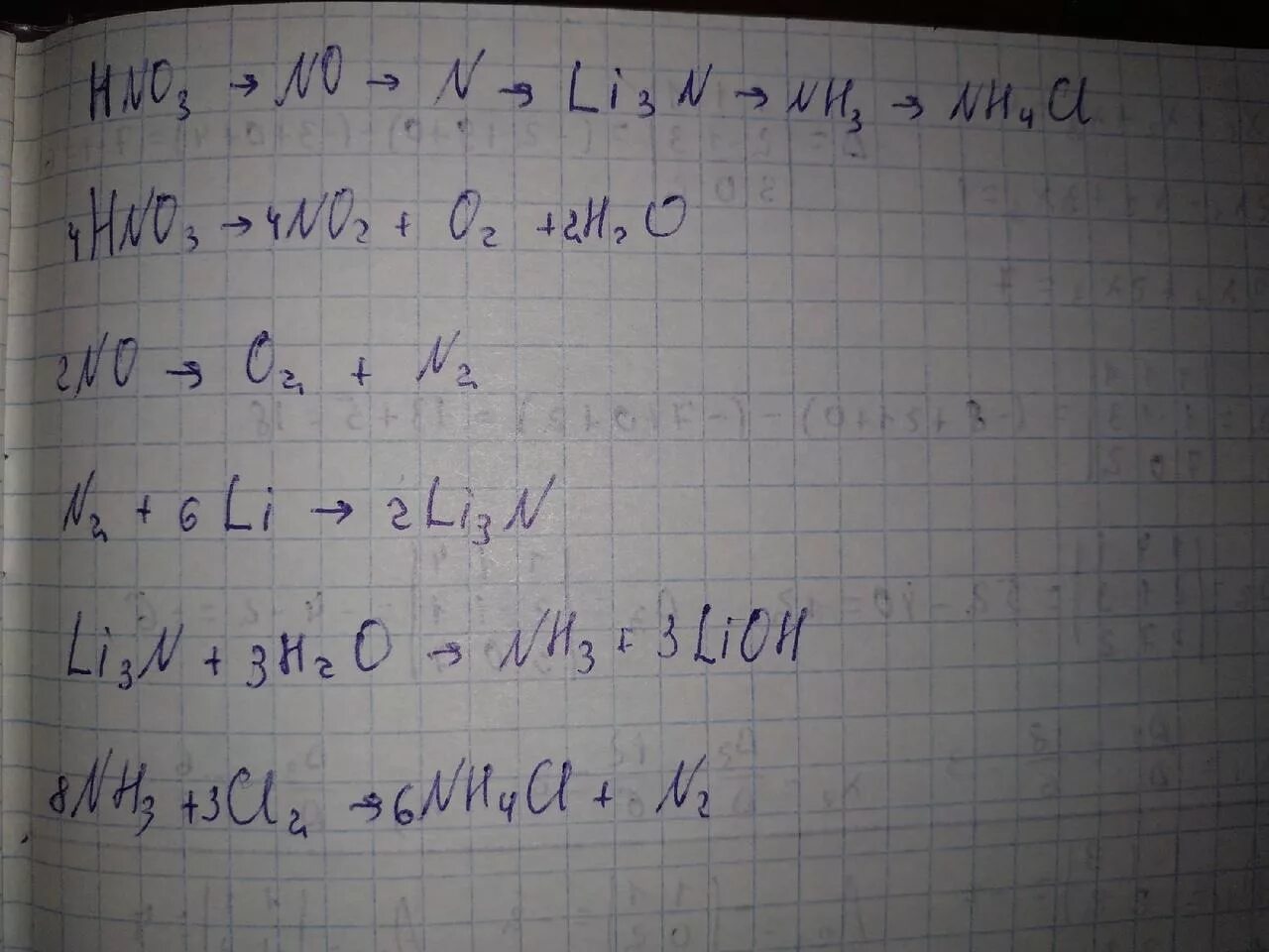
Осуществите превращение азот