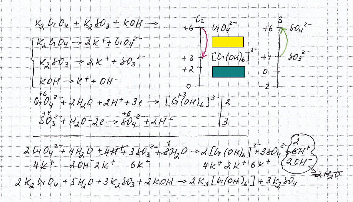
Овр шоу выпуски 2025