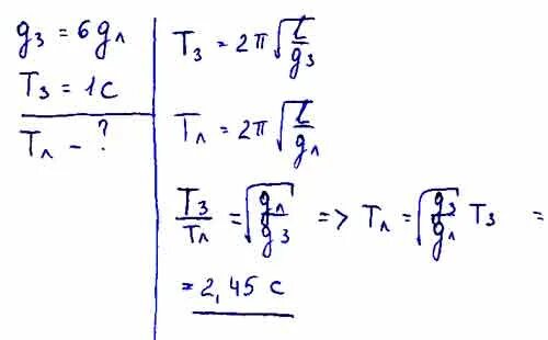
Период секундного маятника равен