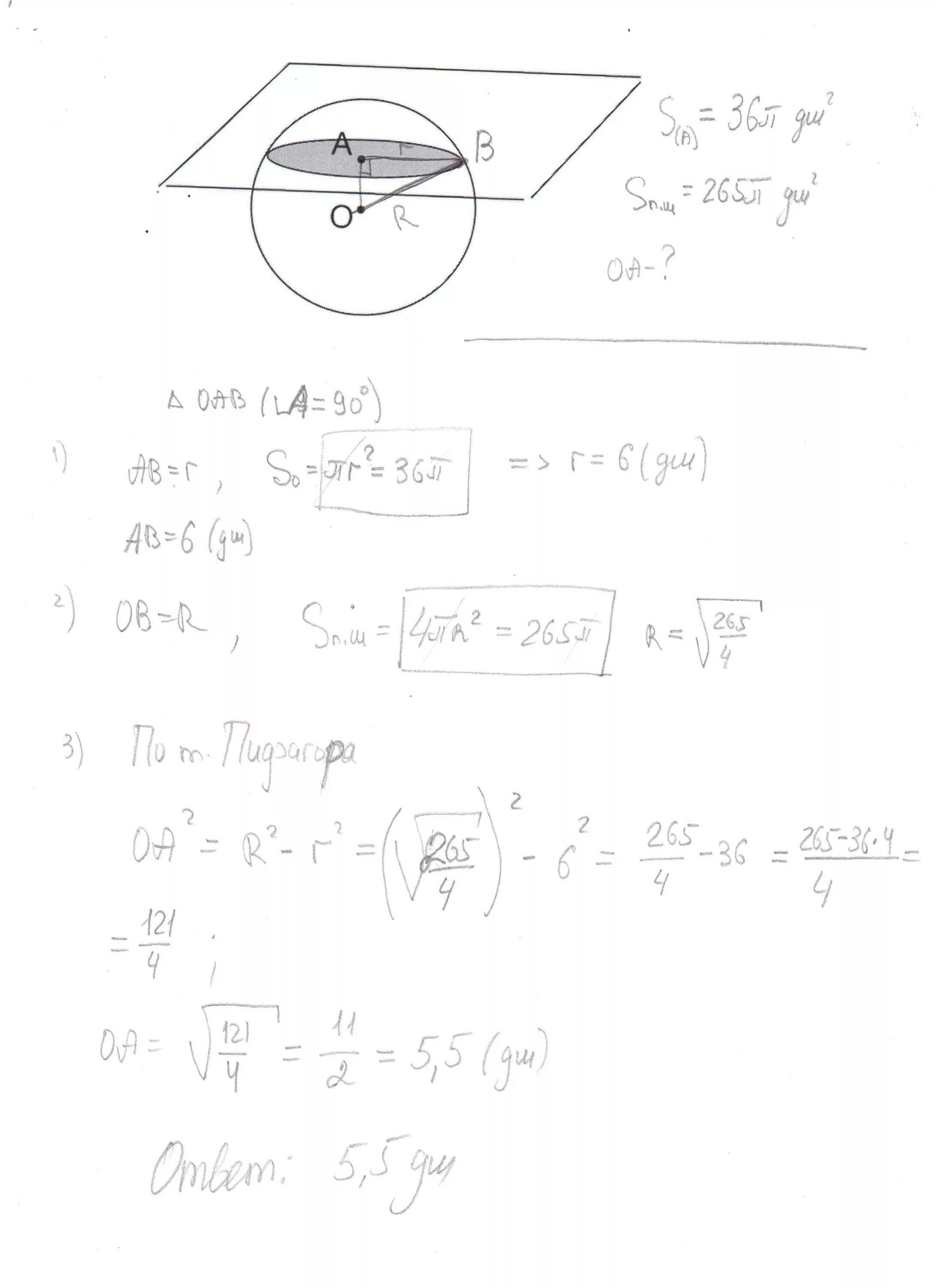
Площадь сечения шара плоскостью равна