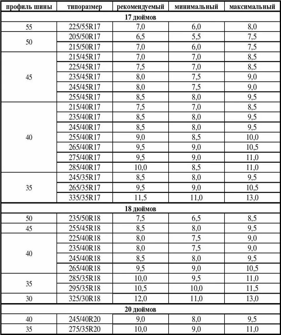
Подбор дисков по марке шин