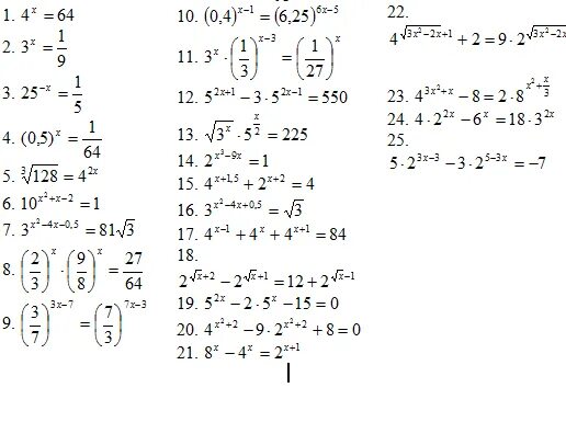
Показательные уравнения 10 класс самостоятельная работа ответы