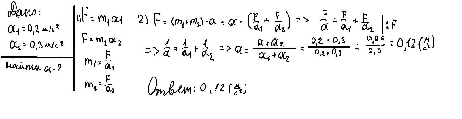
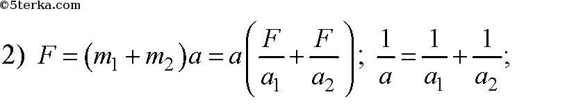
Порожнему прицепу тягач сообщает