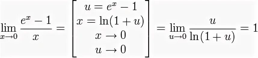
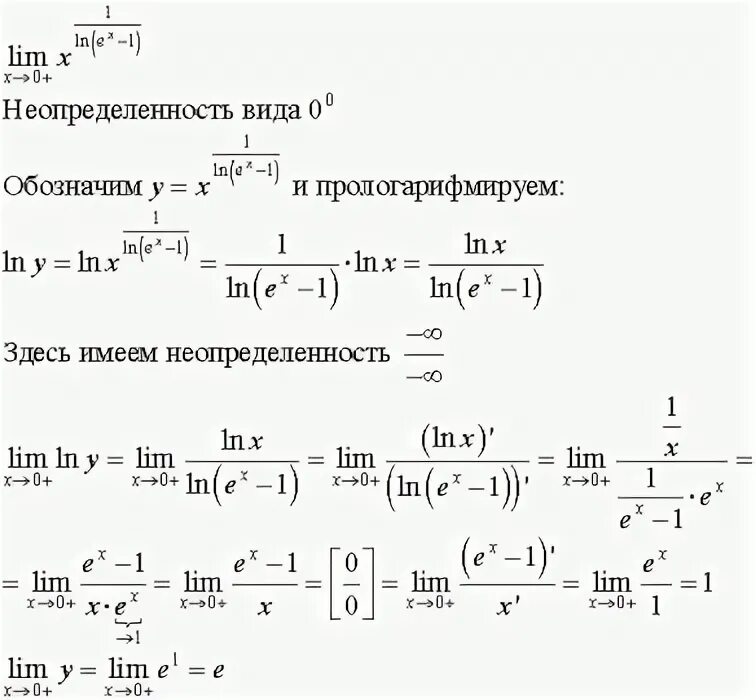
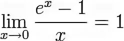
Предел 1 e x