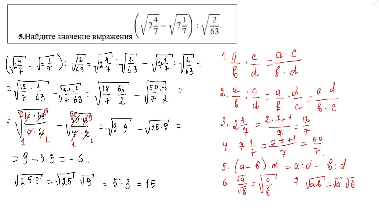
Преобразование иррациональных выражений 10 класс