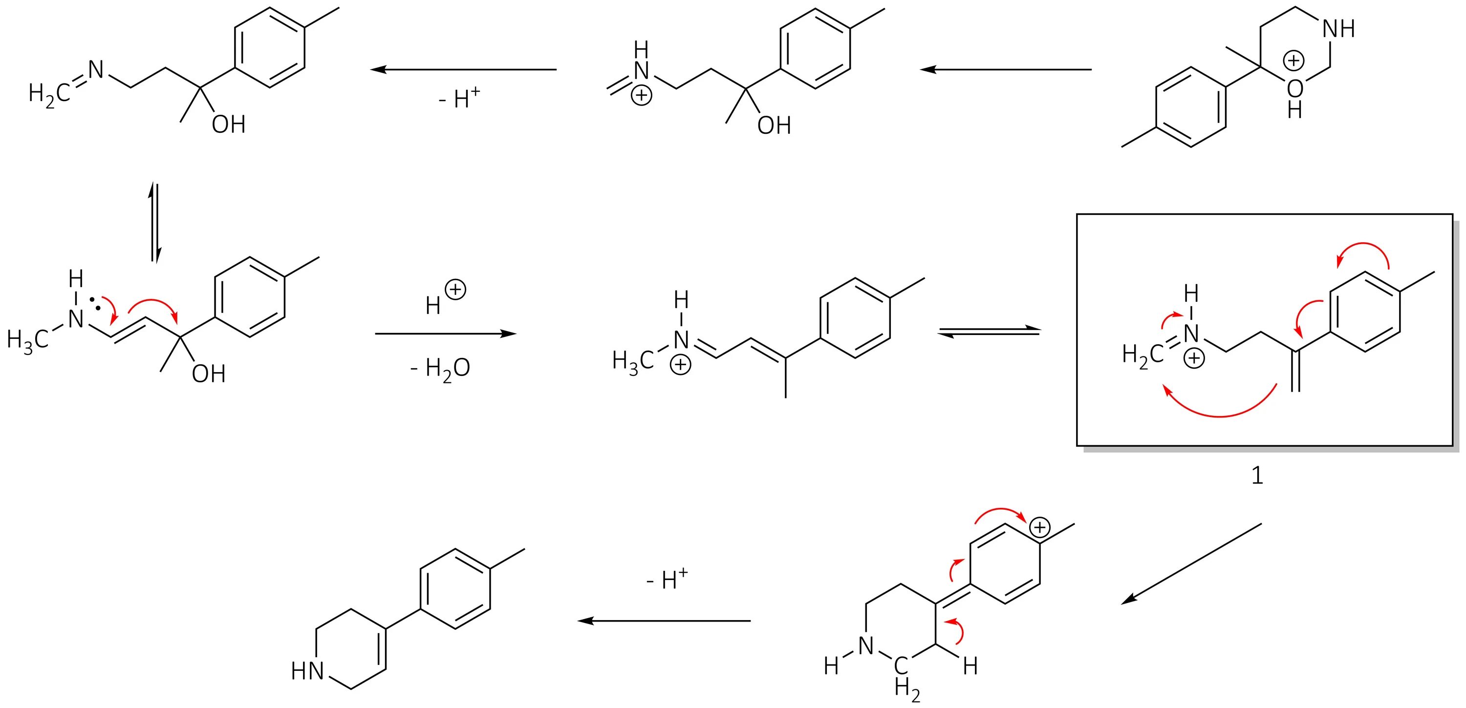
Проп 1 ен