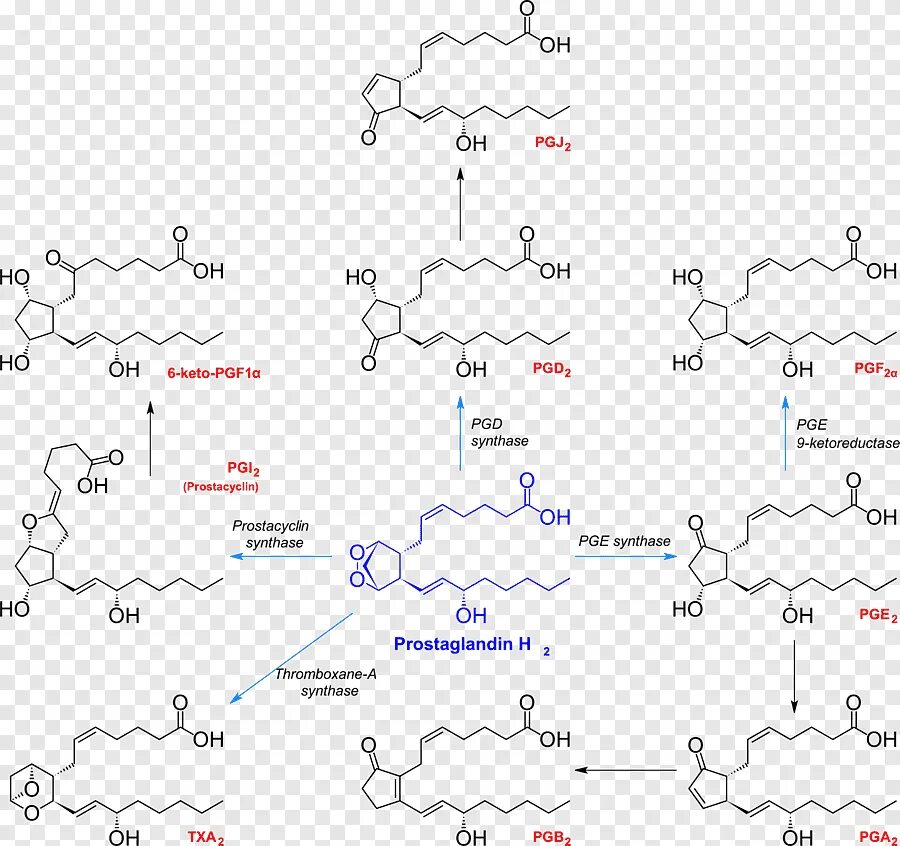
Простагландин d