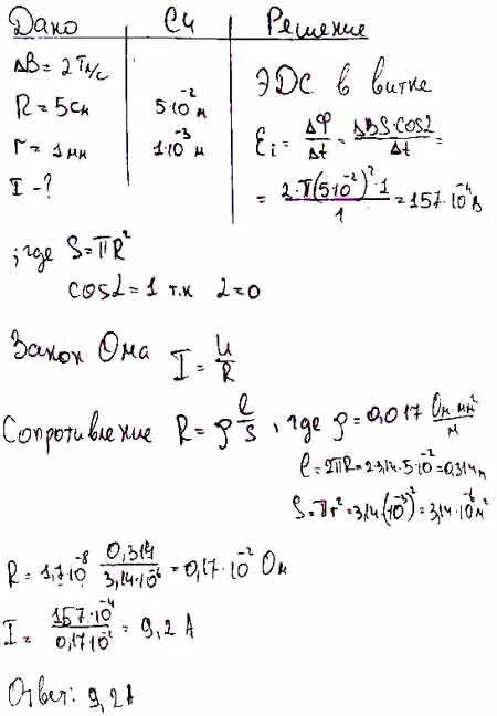
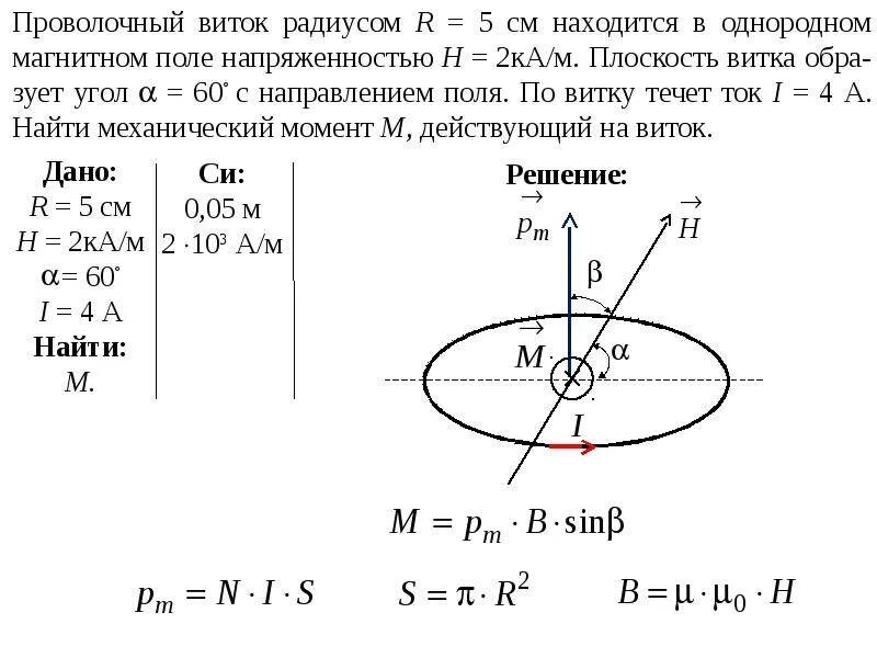
Проволочное кольцо в однородном магнитном поле