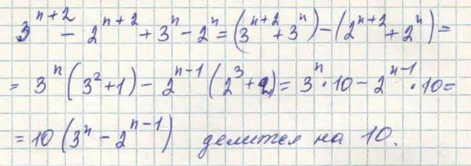
Пусть x m n y