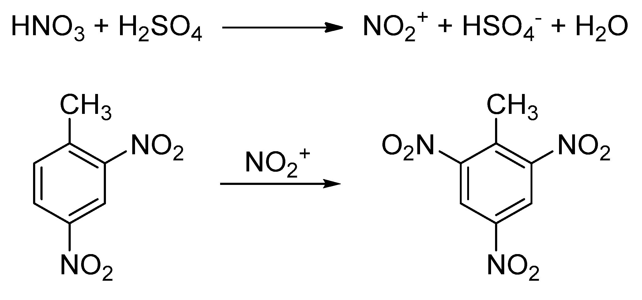
Реакции с hno3