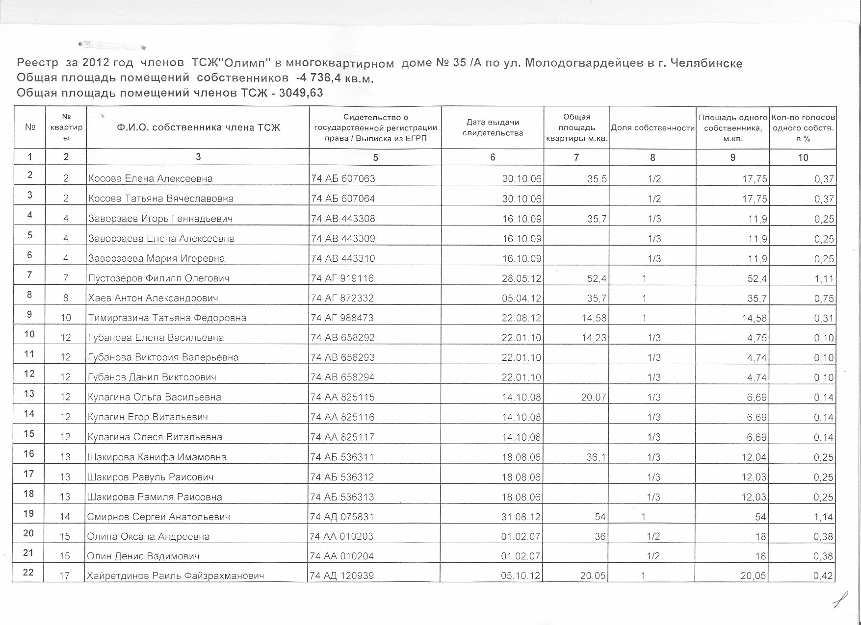
Реестр собственников для проведения собрания